Special Issue

SPECIAL ISSUE ON CARDAMOM, MARCH 2021

it.assistant@ipcnet.org 25 Mar 2021 684


India Cardamom

India produces a wide range of spices and holds a prominent position in world spice production. Because of the varying climates - from tropical to sub-tropical to temperate-almost all spices grow splendidly in India. In reality almost all the states and union territories of India grow one or the other spices. Under the act of Parliament, a total of 52 spices are brought under the purview of Spices Board. However, 109 spices are notified in the ISO list which include cardamom. Furthermore, India are known for its two types of cardamom which are small cardamom and large cardamom.

Cardamom small or green cardamom is cultivated southernmost part of India. Western Ghats in Kerala are the most major producer of high quality green cardamom. It is also known as True cardamom in cardamom markets. Small cardamom's size is about 6mm to 8mm. large cardamom or black cardamom are growing northeast part of India and Nepal. It is dark brown in colour and have the same uses of green cardamom. Black cardamom capsules has got a comparatively larger size than green cardamom.


Harvesting and processing

Cardamom plants normally start bearing two years after planting. In most of the areas in India the peak period of harvest is during October-November. Picking is carried out at an interval of 15-25 days. Ripe capsules are harvested in order to get maximum green colour during curing. After harvest, capsules are dried either in kiln drying or electrical drying or in the sun drying. It has been found that soaking the freshly harvested green cardamom capsules in 2% washing soda solution for 10 minutes prior to drying helps to retain the green colour during drying. For kiln drying, over night drying at 50-60o C is required, for electrical drying, it should be dried at 45-50o C for 14-18 hours, while for sun drying it requires 5-6 days or more depending on the availability of sunlight. The capsules kept for drying are spread thinly and stirred frequently to ensure uniform drying. The dried capsules are rubbed with hands or coir mat or wire mesh and winnowed to remove any foreign matter and then sorted out according to size and colour, and stored in black polythene lined gunny bags to retain the green colour during storage.


Area Plantation of Cardamoms in India

In India, small cardamoms are produced in Kerala, Karnataka and Tamil Nadu State. In 2016, the total area under small cardamoms plantation were reported to be 70,080 Ha of the 3 states above with Kerala State being reported the largest, amounting to 39,680 Ha followed by Karnataka States with 25,240 Ha and Tamil Nadu with 5,160 Ha. Similar to small cardamom, large cardamom was also widely cultivated in India and during the same period large cardamoms were mostly produced in Sikkim and West Bengal State. The total area under large cardamom plantation in the 2 states was reported to be 26,387 Ha which 23,082 Ha of it located in Sikkim State and the other 3,305 Ha in West Bengal State.

Year 2017 saw a decreasing trend in small cardamoms planting area. India's area under small cardamom plantation dropped to a total of 69,357 Ha of which Kerala State amounted to 39,080 Ha, Karnataka State with 25,117 Ha and Tamil Nadu State with 5,160 Ha. Thus, recording a total decrease by 1% as compared to the previous year. Furthermore, contrary to small cardamoms, the total area under large cardamoms plantation was reported with an increase of 1% as compared to the previous year with a total of 26,617 Ha, divided to Sikkim State 23,312 Ha and West Bengal State 3,305 Ha.

2018 saw relative unchanged trend of area plantation for both small and large cardamoms in India. Small cardamoms in India was reported with a total area of plantation at 69,330 Ha of which Kerala State 39,080 Ha, Karnataka State 25,135 Ha and Tamil Nadu State 5,115 Ha. Whilst, the total area under large cardamoms plantation was reported unchanged.

In 2019, the area under small cardamoms plantation was estimated to be stable and relatively unchanged as compared to 2018 with a total 69,132 Ha of which Kerala State 38,882 Ha, Karnataka State 25,135 Ha and Tamil Nadu State 5,115 Ha. Contrary to small cardamoms, the total area under large cardamoms plantation was estimated with a significant increase of 61% as compared to the previous year to a total of 42,826 Ha. The increase of the total area under large cardamoms plantation could be contributed to the opening of large cardamoms plantation in other state in India such as Nagaland State and Arunachal Pradesh State. In 2019, the estimated area of plantation for India's large cardamom were Sikkim State with 23,312 Ha, West Bengal States with 3,305 Ha, Nagaland States with 6,308 Ha and Arunachal Pradesh State with 9,901 Ha. Furthermore, for the year 2020, the area of plantation for small and large cardamoms were projected with an increase of 1% and 2% respectively as compared to the previous year to a grand total of 113,594 Ha which 62% of it consisted of small cardamoms and 38% of large cardamom. During 2016-2020, the highest total area of small and large cardamoms in India was projected in 2020 with 113,594 Ha whilst the lowest was reported in 2017 with 95,947 Ha (Table 1).


Production of Cardamoms in India

Cardamoms production by India in the period of 2016 until 2020 had fluctuated. Production of small cardamoms in 2016 was reported to reach 23,890 Mt of which Kerala State was reported to be the biggest contributor with 21,503 Mt or 90% of the total production of India's small cardamoms. Furthermore, production of large cardamom in 2016 was reported to reach 5,315 Mt of which Sikkim State was reported to be the biggest contributor with 4,465 Mt or 84% of the total production of India's large cardamom.

2017 saw a decreasing trend for production of small cardamom. India was reported to have only produced small cardamoms to a total of 17,990 Mt. Thus, recording a decrease by 25% as compared to the previous year. Contrary to small cardamoms, production of large cardamoms was reported with an increase of 5% as compared to the previous year to a total of 5,572 Mt.

Furthermore, in 2018 production of small and large cardamom showed increasing trend and were reported with an increase of 15% and 6% respectively as compared to 2017, recording a total of 20,650 Mt for small cardamoms and 5,906 Mt for large cardamoms.

In 2019, production of small cardamoms was estimated to only reach 12,940 Mt or a decrease by 37% when compared to 2018. Contrary to small cardamoms, production of large cardamoms in 2019 was estimated with a significant increased by 47% or 2,763 Mt as compared to the previous year with total 8,669 Mt. The increase in production of large cardamoms was contributed to the opening of new plantation area in Nagaland State and Arunachal Pradesh State. Furthermore, the production of small and large cardamoms in 2020 were projected to decrease by 13% and 1% respectively as compared to 2019 to a total of 11,231 Mt for small cardamoms and 8,600 Mt for large cardamoms (Table 1). During 2016-2020, the highest total production of small and large cardamoms in India were reported in 2016 with 29,205 Mt whilst the lowest was projected to occur in 2020 with 19,831 Mt.


Cardamoms Productivity in India

Cardamoms productivity in India during 2016 up to 2019 was reported to fluctuate with the average of small cardamoms productivity was reported with a decrease of 14% whilst the average of large cardamoms productivity was reported with an increase by 26% (table 2). In 2016, productivity of small cardamoms was reported at 783 Kg per Ha whilst the productivity of large cardamoms was reported at 451 Kg per Ha.

In the following year, the productivity of small cardamoms saw decreasing trends to a total of 631 Kg per Ha or a decrease of 19% as compared to 2016. Contrary to small cardamoms, the productivity of large cardamoms was reported with an increase of 7% to a total 483 Kg per Ha.

Furthermore, productivity of small and large cardamoms in 2018 were reported with an increase by 10% and 9% respectively as opposed to previous year, totalling 693 Kg per Ha for small cardamoms and 524 Kg per Ha for large cardamoms.

Small cardamoms productivity in 2019 was estimated to decrease by 33% as compared to the previous year, totalling at 464 Kg per Ha. Whilst, large cardamoms productivity was estimated with significant increase by 64% as opposed to previous year at 858 Kg per Ha. During 2016-2019, the highest total productivity of small and large cardamoms was reported in 2019 which was estimated at 1,322 Kg per Ha whilst the lowest occurred in 2017 with 1,114 Kg per Ha (Table 2).

Furthermore, for the year 2020, the productivity of small and large cardamoms was projected to decrease by 18% and 0.1% respectively as compared to 2019, recording 383 Kg per Ha for small cardamoms and 857 Kg per Ha for large cardamoms.


Cardamoms Average Auction Prices in India

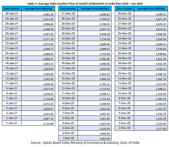
During the three months of November 2020 to January 2021, both small and large cardamoms average auction prices in India saw a mixed response. The average auctioned price of small cardamoms in India in the three months period was reported with INR 1,608.57 per Kg (Table 3) with the highest average auctioned price recorded in 16 December 2020 with INR 1,963.25 per Kg. Whilst, the lowest average auctioned price was reported at INR 1,332 per Kg in 3 November 2020.

Furthermore, the average auctioned price of large cardamoms in India in the three months period was reported at INR 426.80 per Kg (Table 4) with the highest average auctioned price recorded in 24 December 2020 at INR 460.21 per Kg and the lowest was reported at INR 365.83 per Kg in 31 December 2020.


Export of Cardamoms by India

As one of the biggest producers of cardamoms in the world, India in the past 2 years actively exports cardamoms to various countries. In 2019, India was reported to have exported a total of 3,802 Mt of cardamoms which 84% or 3,210 Mt of it comprised of whole cardamoms and 16% or 592 Mt of it ground cardamoms. India on average exported a total of 317 Mt per month in 2019 which peaked in September with 514 Mt. The total revenue of India's export of cardamoms in 2019 was reported to be as high as USD 64.5 Million. Thus, recording an average price of the total cardamoms exported by India at USD 17,810 per Mt for whole cardamoms and USD 12,449 per Mt for ground cardamoms.

Year 2020 saw an increasing trend in term of quantity of cardamoms exported by India. India was reported to have exported a total of 6,104 Mt which 92% or 5,596 Mt of it comprised of whole cardamoms and 8% or 508 Mt of it ground cardamoms, recording an increase of 61% when compared to 2019. The average export of cardamoms by India in 2020 was reported to be at 509 Mt per month which peaked in December with 971 Mt. In accordance with increasing in terms of quantity, India's revenue from cardamoms export was reported to have increased by 94% as compared to the previous year to a total of USD 125.0 Million. Thus, recording an average price of the total cardamoms exported by India at USD 20,444 per Mt for whole cardamoms and USD 20,872 per Mt for ground cardamoms or an increase of 15% and 68% respectively as compared to 2019.

Cardamoms from India are traded worldwide. In 2020, India's top 5 Country of destinations for its cardamoms were reported to be United Arab Emirates with 1,630 Mt (Contributed to 27% of India's total cardamoms export in 2020), Saudi Arabia with 511 Mt (8%), Singapore with 447 Mt (7%), United States of America with 423 Mt (6.9%) and Kuwait with 399 Mt (6.5%).


Import of Cardamom by India

Apart from being cardamoms' producing country, India is also known to be the second largest cardamom importer in the past two years following United States of America. India actively imports cardamoms from various cardamoms producing countries for its domestic consumption or for re-export purpose.

In 2019, India was reported to have imported a total of 5,190 Mt of cardamoms which 97% or 5,053 Mt of it comprised of whole cardamoms while 3% or 137 Mt of it was ground cardamoms. The average import by India in 2019 was reported to be 433 Mt per month with the highest quantity recorded in July with 824 Mt. The total expenditure of cardamoms import by India was reported to be as high as USD 44.9 Million, recording an average price of the total cardamoms imported by India at USD 8,260 per Mt for whole cardamoms and USD 23.477 Per Kg for ground cardamoms.

Year 2020 saw an increasing trend in term of quantity of cardamoms imported by India. India was reported to have imported a total of 7,800 Mt which 99.5% or 7,761 Mt of it comprised of whole cardamoms and 0.5% or 38 Mt of ground cardamoms. Thus, recording an increase of 50% as compared to 2019. On average India was reported to have imported 650 Mt per month in 2020 which peaked in December with 1,412 Mt. In accordance with the increase in term of quantity, India's expenditure for cardamoms import was reported to have increased by 41% to a total of USD 63.3 Million, recording an average price of the total cardamoms imported by India at USD 8,016 per Mt for whole cardamoms and USD 29,511 per Mt for ground cardamoms or a decrease by 3% for whole cardamoms and an increase of 26% for ground cardamoms as compared to 2019.

The top five countries of origins of India's imported cardamoms in 2020 were reported to be Nepal with 6,811 Mt (Contributed to 87% of India's total cardamoms import in 2020), Bhutan with 390 Mt (5%), Guatemala with 336 Mt (4%), United Arab Emirates with 232 Mt (3%) and Singapore with 12 Mt (0.2%).


MRSLs Requirements of Cardamoms by Consuming Countries


MRSLs Requirements by European Union

European market is a very important markets for cardamom with countries like United Kingdom, Netherlands, Germany and Scandinavian which use cardamom in several traditional recipes. Furthermore, export cardamom to Europe must comply with the European Commission requirements for spices and herbs. Below is information regarding the specific MRLS requirements for cardamom as implemented by European Union.











MRSLs Requirements by United States of America

The United States as the largest importer of cardamoms in the world, has also implemented requirements for spices and herbs like cardamom. Below is information regarding the specific MRLS requirements for cardamom as implemented by the United States.


Source:
• Spices Board India (Ministry of Commerce and Industry, Government of India)
• Ministry of Commerce and Industry of India
• International Trade Centre (ITC) - Geneva
• Food and Agricultural Organization (FAO)
• European Commission
• US Food and Drug Administration (FDA)

Note: Some of the data in this publication are from the IPC database. The data are obtained from official reports and
correspondence between the IPC and relevant parties and have been processed based on statistical norms that can be
accounted for.

Download PDF