International Pepper Community
a UNESCAP Intergovermental Organization
International Pepper Community
a UNESCAP Intergovermental Organization
Weekly Publications
No. 44/25, 27 - 31 October 2025
MARKET REPORT - KEY HIGHLIGHTS
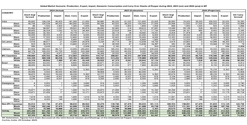
![]() |
|
||
|
|||
|
|||
|
|||
|
|||
|
|||
|
|||
|
FARM GATE PRICE BLACK PEPPER - in US$/Mt

FARM GATE PRICE WHITE PEPPER - in US$/Mt

FOB PRICE BLACK PEPPER - in US$/Mt

FOB PRICE WHITE PEPPER - in US $/Mt

EXPORT OF PEPPER BY ESTONIA (2023 - 2025)


BUYERS PRICES AT NEW YORK (In US$/Mt)






Notes:
- Prices given are indicative prices. Quality may differ from place to place. Prices can vary and the IPC is not responsible for loss or damages caused to the users of these prices in the context of business contracts or other transactions
- Producers price ex Kochi is the price quoted for un-garbled quality at Kochi
- Producers prices ex Lampung and Pangkal Pinang are average prices received by farmers for unprocessed pepper
- Producers prices ex Kuching are the average prices offered by local traders to farmers for unprocessed pepper - grade 1
- Producers price in Sri Lanka is the average price received by growers, collected from 11 pepper growing districts in Sri Lanka - grade 1
- Producers price ex Ho Chi Minh City is prices for local purchases of pepper (500 g/l for black and 630g/l for white)
Notes:
IPC DOES NOT set the price of pepper; IPC only publishes the prevailing price of pepper as reported from various origins and sources. Some of the data in this publication are from the IPC Secretariat database. The data were obtained from the official reports and correspondence between the IPC and has been processed based on statistical norms that can be accounted for.
Previous Publications
- No. 9/26, 23 - 27 February 2026
- No. 8/26, 16 - 20 February 2026
- No. 7/26, 9 - 13 February 2026
- No. 6/26, 2 - 6 February 2026
- No. 5/26, 26 - 30 January 2026
- No. 4/26, 19 - 23 January 2026
- No. 3/26, 12 - 16 January 2026
- No. 2/26, 5 - 9 January 2026
- No. 01/26, 29 December 2025 - 02 January 2026
- No. 52/25, 22 - 26 December 2025
- No. 51/25, 15 - 19 December 2025
- No. 50/25, 8 - 12 December 2025
- No. 49/25, 1 - 5 December 2025
- No. 47/25, 17 - 21 November 2025
- No. 46/25, 10 - 14 November 2025
- No. 45/25, 3 - 7 November 2025
- No. 44/25, 27 - 31 October 2025
- No. 43/25, 20 - 24 October 2025
- No. 42/25, 13 - 17 October 2025
- No. 41/25, 06 - 10 October 2025
- No. 40/25, 29 September - 03 October 2025
- No. 39/25, 22 - 26 September 2025
- No. 38/25, 15 - 19 September 2025
- No. 37/25, 8 - 12 September 2025
- No. 36/25, 1 - 5 September 2025

